日前,由中国学位与研究生教育学会主办的中国研究生创新实践系列大赛十周年总结大会暨“与时而新,踔厉奋发,助力拔尖创新人才自主培养”主题论坛在复旦大学顺利召开。教育部党组成员、副部长翁铁慧,中国学位与研究生教育学会会长杨卫,上海市副市长解冬等出席大会。大会重磅公布了研究生培养单位贡献力TOP100排行榜,我校位列全国研究生培养单位综合贡献力top100榜单第80位。


大会发布了《中国研究生创新实践系列大赛十年发展报告》,其中重磅公布了研究生培养单位贡献力TOP100排行榜。中国研究生创新实践系列大赛依据规模贡献、质量贡献、组织贡献和建设贡献四项指标分值汇总,最终获得研究生培养单位综合贡献力量化结果。我校位列全国研究生培养单位综合贡献力top100榜单第80位,其中规模贡献力排名60位,质量贡献力排名79位,均位列湖北省属高校第1。
据悉,根据贡献力的内涵与研发原则,通过多轮专题研讨和专家咨询会议讨论,最终确定规模贡献、质量贡献、建设贡献和组织贡献四个贡献力指标计算方法。规模贡献与质量贡献数据来源于2018-2022年创新实践系列大赛统一报名工作平台;建设贡献和组织贡献统计了2013-2022年间赛事组织实施信息。依据四个指标分值,最终获得创新实践系列大赛研究生培养单位贡献力排行榜,详见表1-4。
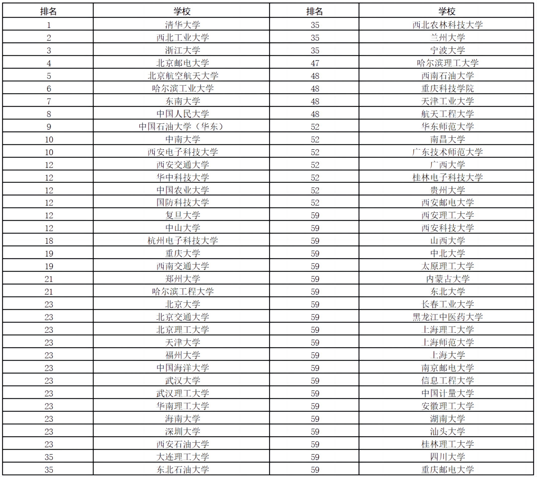
表1 研究生培养单位贡献力Top100


表2 研究生培养单位规模贡献力Top100


表3 研究生培养单位质量贡献力Top100


表4 研究生培养单位建设和组织贡献力排行榜


近年来,学校科学统筹各领域育人资源,抓实科研育人和实践育人,把思想价值引领贯穿于科研全过程,引导广大研究生同学树立正确的政治方向、价值取向、学术导向,鼓励研究生投身科研报国,将论文写在祖国大地,不断提升思政工作实效。此外,学校还采取强化研究生分类培养、加强制度建设与过程管理、突出特色培养、课程教材及教学案例建设、强化导师队伍育人能力建设等系列措施全方面提升研究生培养质量。
其中,学校高度重视研究生学科竞赛工作,将其作为为党育人、为国育才的重要抓手。在校党委、校行政的正确领导和相关单位及各学院师生通力协作配合下,2022年,学校研究生获得国家级奖项350余项,获得省部级奖项740余项,其中中国“互联网+”大学生创新创业大赛、全国研究生数学建模竞赛、中国研究生电子设计竞赛等重大重点赛事国家级奖项110余项,省部级奖项450余项。尤其是在十七届中国研究生电子设计竞赛中,共组织125支队伍参赛,参赛规模创历史新高,学校被连续6年评为“全国总决赛优秀组织单位”。
后续,学校将主动对标党的二十大报告作出的战略擘画和省十二次党代会做出的重大决策部署,持续聚焦国家和区域战略,紧密围绕学校一流学科专业建设,充分体现学科、专业发展方向和热点,把阶段性学科竞赛深度融入到研究生日常培养,引导研究生将专业理论学习和学科竞赛实践相结合,加强政产学研用深度融合,促进教育链、人才链与产业链、创新链有机衔接,推动研究生教育内涵式、高质量发展。
本文转载自湖北工业大学